
- Emlak Haberleri

- Özelleştirme İdaresi'nden 4 İlde 42 Gayimenkulü Özelleştirme Kararı
Özelleştirme İdaresi'nden 4 İlde 42 Gayimenkulü Özelleştirme Kararı
Özelleştirme İdaresi Başkanlığı, resmi gazetede yayınlanan habere göre Ankara'da ve Muğla'da 1, Malatya'da 3, İstanbul'da ise 37 adet taşınmazı özelleştiriyor...
Özelleştirme İdaresi Başkanlığı, resmi gazetede yayınlanan habere göre Ankara'da ve Muğla'da 1, Malatya'da 3, İstanbul'da ise 37 adet taşınmazı özelleştiriyor...Mülkiyeti Maliye Hazinesine ait toplam 42 adet taşınmazın özelleştirme kapsam ve programına alınmasına karar verildi.
Kararda, satış yöntemiyle özelleştirilmesine karar verilen gayrimenkuller için özelleştirme işleminin 31 Aralık 2020 tarihine kadar tamamlanacağı bildirildi.
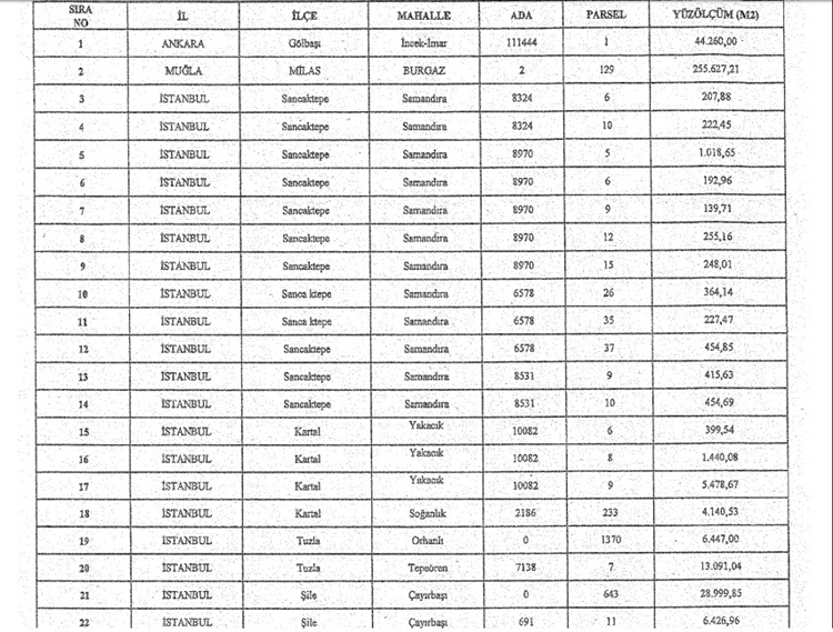
Özelleştirme kapsamına alınan gayrimenkullerin tam listesi şöyle;


HABER İLE İLGİLİ YORUMLAR
henüz yorum yok
GÜNDEM HABERLERİ
Doğu Anadolu'nun yeni çekim merkezi V Mall Ağrı'da ön talep süreci başladı
Yaklaşık çeyrek asırlık deneyimiyle gayrimenkul, turizm, perakende, enerji ve finans sektörlerinde f
05 December 2025
Türkiye, Miami’ye konut yatırımında 73 ülke arasında ilk kez 5’inci sıraya yükseldi!
Miami Realtors Derneği tarafından Kasımda açıklanan uluslararası rapora göre, son 22 ayda Miami’den
03 December 2025
Suudi Arabistan’a otel, perakende ve konut projesi Nef’ten milyar dolarlık ortaklık
18 November 2025
2026’da Arsa Yatırımlarında Belirleyici Faktör: Bölgesel Dinamikler ve Doğru Analiz













