
- Kentsel Dönüşüm Haberleri

- Adana Seyhan'da Kentsel Dönüşüm Alanı İlan Edildi!
Adana Seyhan'da Kentsel Dönüşüm Alanı İlan Edildi!
Resmi Gazete'de yayınlanan karara göre, Adana Seyhan ilçesinde yer alan bazı alanlar kentsel dönüşüm alanı ilan edildi...
Resmi Gazete'de yayınlanan karara göre, Adana Seyhan ilçesinde yer alan bazı alanlar kentsel dönüşüm alanı ilan edildi...Adana, Seyhan Mestanzade, Şehitduran ve Yenibey mahallelerinde yayınlanan bazı alanlar kentsel dönüşüm alanı ilan edildi. Karar resmi gazetede şu şekilde yer aldı:
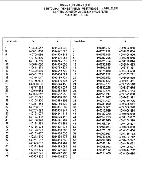
"Adana ili, Seyhan ilçesi, Mestanzade Şehitduran ve Yenibey (Kısmi) mahalleleri sınırları içerisinde bulunan ve ekli kroki ile listede sınır ve koordinatları gösterilen alan, kentsel dönüşüm ve gelişim proje alanı ilan edilmiştir.
Birinci fıkra kapsamında ilan edilen kentsel dönüşüm ve gelişim proje alanı içerisinde yer alan ve harca esas değer üzerinden belediyelere devredilen hazineye ait taşınmazlar, kentsel dönüşüm ve gelişim amacına yönelik imar planı ve uygulaması yapılmadan satılamaz."


HABER İLE İLGİLİ YORUMLAR
henüz yorum yok
GÜNDEM HABERLERİ
Kentsel dönüşümün hızlanmasının yolu vatandaşı bilgilendirmekten geçiyor
İstanbul’daki kentsel dönüşüm sürecinin hızlandırılması gerektiğine dikkat çeken Beyaz Group İnşaat
16 August 2024
DEPREM DİRENÇLİ KENTLER İÇİN ÇELİK YAPILAR BİR TERCİH DEĞİL ZORUNLULUK OLMALI
17 Ağustos 1999 Marmara depreminin üzerinden geçen 25 yılın ardından kentsel dönüşüm ve deprem diren
14 August 2024
POPÜLER HABERLER
RAMS Park House Maslak’ta “Bahar Kampanyası” %20 Peşinat, 36 Ay Vade ve Sıfır Faiz İmkânı













