
- Emlak Haberleri

- Erzurum

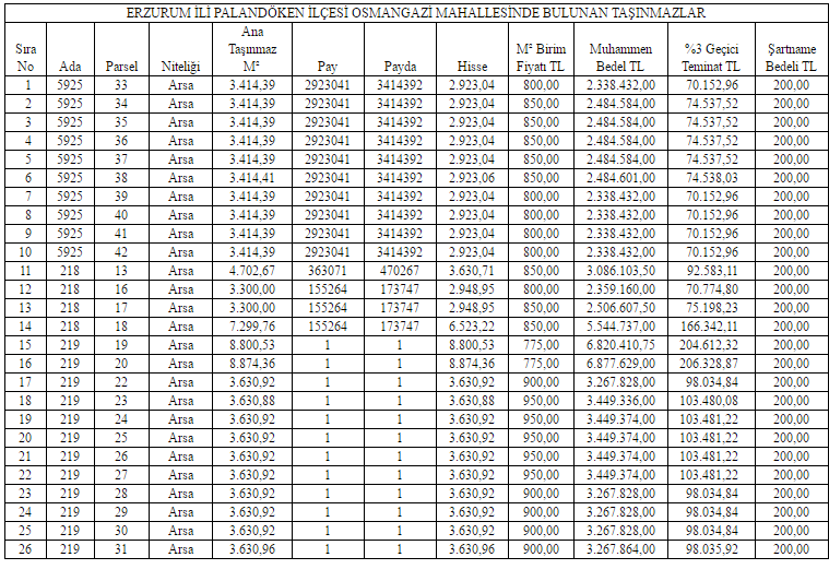
- Palandöken

- Erzurum Büyükşehir Belediyesi'nden Satılık 26 Arsa
Erzurum Büyükşehir Belediyesi'nden Satılık 26 Arsa
Erzurum Büyükşehir Belediyesi 26 arsa ve 1 işyeri olmak üzere 27 gayrimenkulünü toplam 86 milyon 899 bin 578 TL'ye satışa çıkarıyor...
Erzurum Büyükşehir Belediyesi 26 arsa ve 1 işyeri olmak üzere 27 gayrimenkulünü toplam 86 milyon 899 bin 578 TL'ye satışa çıkarıyor...Erzurum Büyükşehir Belediyesi 26 adet arsasını ve 1 adet işyerini satışa çıkarıyor. Satışa söz konusu gayrimenkullerin ihalesi 4 Ekim 2016 günü saat 14:00'da Erzurum Büyükşehir Belediyesi Encümen salonunda yapılacak.
Satışa söz konusu arsalar Erzurum Palandöken Osmangazi mahallesinde yer alıyor. Arsaların toplam muhammen bedeli 84 milyon 895 bin 774 TL olarak belirlendi.
Muhammen bedeli ve enkaz bedeli 1 milyon 993 bin 804 TL olan işyeri-garaj ise Yakutiye Kuloğlu mahallesinde yer alıyor.


İhaleye katılacaklardan istenen belgeler;
1 - Teklif Mektubu (Şartname eklerinde örneği mevcut)
2 - Kanuni ikametgah sahibi olmak.
3 - Tebligat için Türkiye’ de adres göstermek.
4 - Gerçek veya Tüzel kişi olması halinde noter tasdikli İmza sirküleri veya imza beyannamesi.
5 - İstekliler adına vekâleten ihaleye katılım var ise, istekli adına teklifte bulunacak kişilerin vekâletnameleri ile birlikte vekâleten iştirak edenin noter tasdikli imza sirküleri veya imza beyannamesi.
6 - Büyükşehir Belediyesi Emlak ve İstimlâk Dairesi Başkanlığından temin edilecek (Emlak, ESKİ, Hukuk vb.) ilişiksiz belgesi.
7 - Erzurum Büyükşehir Belediyesi adına alınmış muhammen (tahmin edilen) bedelin %3’ü kadar geçici teminat alındı makbuzu veya limit dâhili süresiz teyitli Banka Geçici Teminat mektubu. 2886 Sayılı yasaya göre aranacaktır.
8 - Ortak girişim olması halinde noter tasdikli ortak girişim beyannamesi (ihalenin üzerinde kalması halinde ortaklarca noterden imzalanmış ortaklık sözleşmesi) her biri ortaklar tarafından ayrı ayrı sunulacaktır.
9 - Şartname bedelinin yatırıldığına dair makbuz.
HABER İLE İLGİLİ YORUMLAR
henüz yorum yok
GÜNDEM HABERLERİ
SUR YAPI TATİL EVLERİ ANTALTA’DA YENİ DÖNEM 4 MEVSİM TERMAL AYRICALIĞI
Sur Yapı, Antalya’daki yeni nesil devre mülk projesi Sur Yapı Tatil Evleri Antalya’da önemli bir dön
15 April 2026
SEGA YAPI, ATAKENT’İN DEĞER HATTINDA MODERN ŞEHİR HAYATININ SİMGESİ SEGA ATAKENT’İ SATIŞA SUNDU
Sega Yapı, İstanbul’un önemli bir uydu kenti olan, planlı gelişim bölgesi ve geleceğin yaşam merkezi
13 April 2026
POPÜLER HABERLER
Fırat Life Style’dan 990 Bin TL Net Fiyatıyla "Hemen Tapulu", “Erişilebilir Konut” Modeli













